海坦:詳細介紹水泵揚程系統和系統特性曲線:
發布時間:2013-6-7 10:52:35 來源:海坦泵業 點擊次數:4154
海坦:詳細介紹水泵揚程系統和系統特性曲線:
一、 伯努力方程
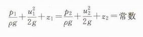
液體是不可壓縮流體,其流動服從能量守恒定律。液體流動的機動的機械能以位能、壓力能和動能三種形式出現,它們之間可以互相轉化。如圖2-95 所示,基點1到基點2液體流動的能量平衡關系如下:
.jpg)
式中 P1、P2—基點1、2的壓力、Pa:
U1、U2—基點1、2的流速,m/s:
Z1、Z2—基點1、2與基準面間的距離,m;
△ H—基點1~2之間輸入的能量,m;
△ H—基點1~2之間輸出的能量,;
P—液體密度,kg/m3;
.jpg)
G—重力加速度。G=9.81 m/s2。
此式即為伯努力方程。伯努利方程是液體流動的基本方程。如液體流動中無能量交換(即無能量輸入和輸出),伯努利方程可表示如下:
.jpg)
二、 系統揚程
泵系統是泵及其附件、吸入管路、排出管路、吸液灌、拍液灌的總稱。系統揚程指把單位重量的液體從吸入液體面輸送到排出液面所需要的能量,常用符號Η2 表示,單位為m。
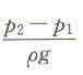
系統揚程ΗZ是由幾何高度ha(為能)、壓力差
(壓能)和整個系統管路(泵本身除外)的阻力損失Ηυ三部分組成。
.jpg)
實際揚程或凈揚程指吸入液面至排出液面的幾何高度 ha=D—h.
三、 系統特性曲線
系統特性曲線也稱管路情況一定,即管路吸入排出液面的壓力、輸液高度、管路長度、管徑、管件數目與尺寸,以及閥門開啟度等都已給定的情況下,單位重量液體流經該系統時需由外界給予的能量(及系統揚程Ηz)與流量Q之間的關系曲線。.jpg)
該曲線是一條二次拋物線,如圖2-97所示。

四、泵的運行工作點
把泵特性曲線Η=f(Q)與系統特性曲線Ηz=f(Q)畫在同一張圖上,泵特性曲線與系統特性曲線的交點M就是泵運行時的工作點,如圖2-97(c)所示,在該點單位重量液體通過泵增加的能量(泵揚程H )正好等于把單位重量液體從吸水池送到排水池液面需要的能量(即系統揚程Hz),故m點是泵穩定的運行點。如果泵偏離M點在A點工作。這時H>Hz,多余的能量促使管內流速增加,泵的流量增加,工作點從A移向M 點。反之,如泵在 B點工作,這時H<Hz,管內流速減慢,泵流量減小,從B點移向M點。*后都要回到M點穩定下來,故泵的穩定點一定是泵特性曲線的交點。但是對有駝峰附近時,一旦偏離,將回不到M點。因此一般不允許采用有駝峰性能曲線的泵。
在產品樣本上給出了泵的特性曲線。當泵系統確定之后,可以計算并畫出系統特性曲線,從而確定出泵實際的運行工作點。
永嘉縣海坦泵業有限公司詳解一下系列水泵技術:海坦:教你怎樣使用與維修管道離心泵 水泵交付檢修前檢查確認及操作工作程序 ZCQ磁力驅動離心泵使用前的檢測確認 不銹鋼離心泵特性曲線測定 自吸離心泵的結構基礎知識 不銹鋼與鑄鐵化工離心泵工作原理有什么區別 不銹鋼離心泵的工作原理裝置 泵實驗中測量結果的整理 電機的防爆等級的選擇 自吸泵產生原因排出法 海坦:告訴你水泵機械密封泄漏的原因分析和解決方案
